Упростите выражение. Пожалуйста помогите
Приложения:

DGGreegg:
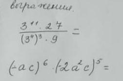
На рисунке в первом выражение в числителе там 27 или два в седьмой степени ?
Ответы
Ответ дал:
1
Ответ:
Пошаговое объяснение: (/ -значок дроби) , (^ - значок степени) первое задание
3^11*27/(3^4)^3*9 = 3^11*27/3^12*9 = 27/3*9 = 27/27 = 1
Второе задание
(-ac)^6*(-2a^2*c)^5 = -a^6*c^6*32*a^10*c^5 = -32a^16*c^11
Вас заинтересует
2 года назад
2 года назад
2 года назад
9 лет назад