Ответы
Ответ дал:
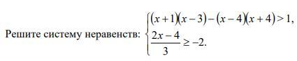
1
12341234123412341234
Приложения:

sekinaev123:
Спасибо)
Вас заинтересует
2 года назад
2 года назад
2 года назад