• Предмет: Математика
  • Автор: ineedahelpplease
  • Вопрос задан 3 года назад

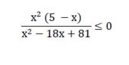
решите неравенство срочно срочно срочно ​

Приложения:

Ответы

Ответ дал: NNNLLL54
0

Ответ:

\dfrac{x^2(5-x)}{x^2-18x+81}\leq 0\ \ \ \Rightarrow \ \ \ \dfrac{x^2(x-5)}{(x-9)^2}\geq 0\ \ ,\ \ x\ne 9\\\\\\znaki:\ \ \ ---[\ 0\ ]---[\ 5\ ]+++(9)+++\\\\\\\boxed{\ x\in \{\, 0\, \}\cup [\ 5\ ;\ 9\ )\cup (\ 9\ ;+\infty \, )\ }

Вас заинтересует