• Предмет: Математика
  • Автор: DruzЬ
  • Вопрос задан 3 года назад

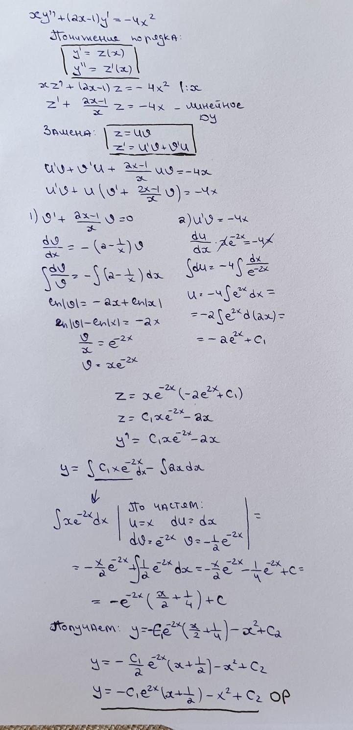
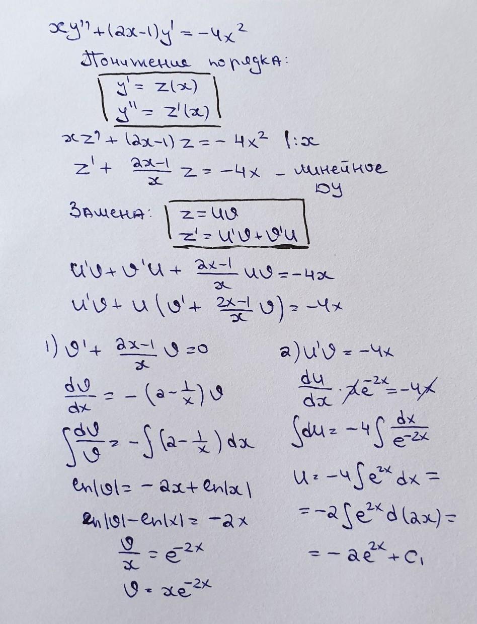
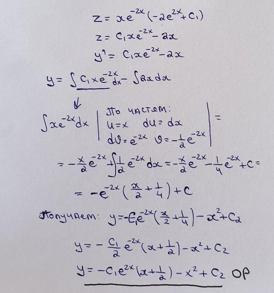
Решить дифференциальное уравнение

xy''+(2x-1)y'=-4x²

Ответы

Ответ дал: Miroslava227
4

Ответ:

решение на фотографиях

Приложения:

Аноним: Здраствуйте, можете помочь пожалуйста? Был бы вам очень благодарен.
Аноним: https://znanija.com/task/44707347
Вас заинтересует