• Предмет: Алгебра
  • Автор: zhaksybayevasamal08
  • Вопрос задан 3 года назад

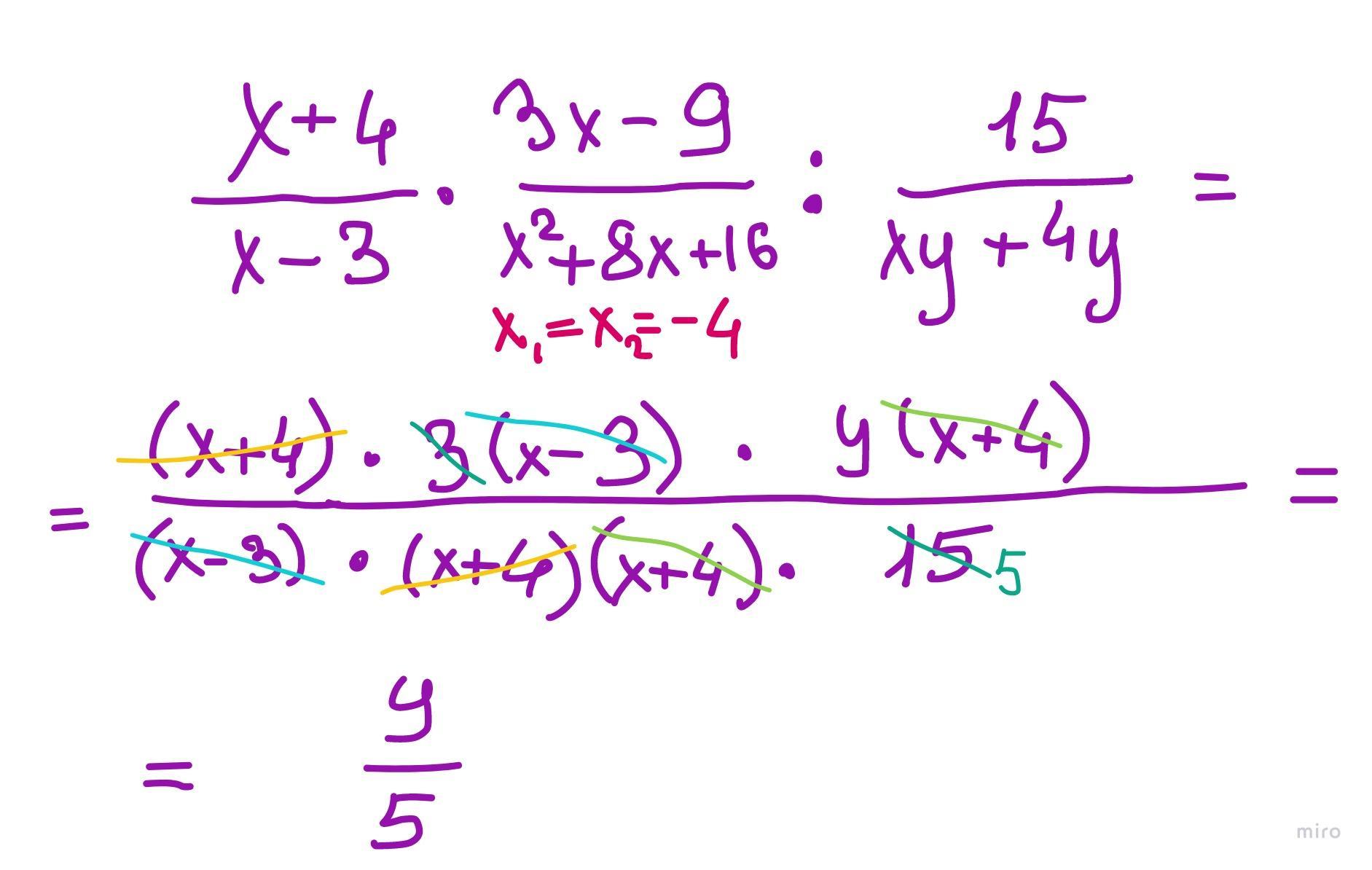
упростить выражения: х-4/х-3*3х-9/х²+8х+16:15/ху+4у ​

Приложения:

Ответы

Ответ дал: korykina67
9

Ответ:

y/5

Объяснение:

смотри фото

Приложения:

scerkasova152: эт правильно?
Ответ дал: digastyle
5

Ответ:

Решение представлено на фотографии

Приложения:

scerkasova152: а какое верно ребята?
kasymzanzere: да какая разница,главное ответ одинаковый
scerkasova152: всё я уже разобралась
Вас заинтересует