• Предмет: Алгебра
  • Автор: uleskali2008
  • Вопрос задан 3 года назад

Пжжжжжжж помагите дам 20 балл

Приложения:

uleskali2008: Помагите

Ответы

Ответ дал: korykina67
1

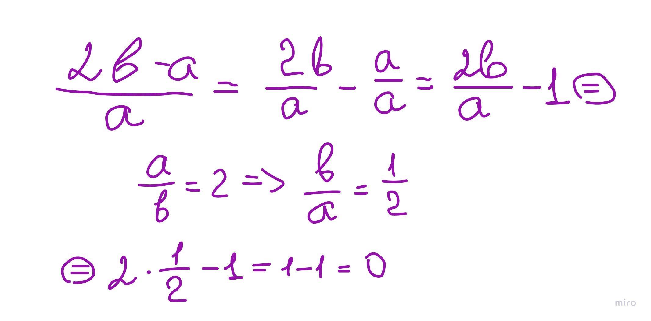
Ответ:

нолик

Объяснение:

Приложения:
Вас заинтересует