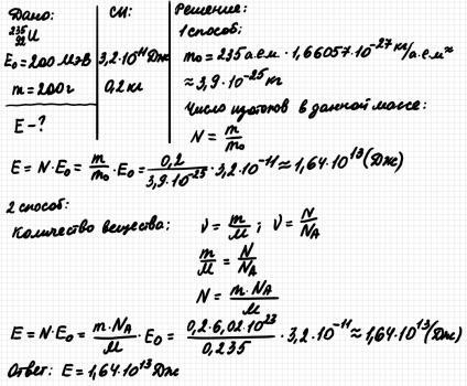
При делении ядер урана 23592U освобождается энергия МэВ, причём 86% этой энергии приобретают осколки деления
Приложения:

Ответы
Ответ дал:
0
Ответ:
00000000000000000000
Объяснение:
Приложения:

Вас заинтересует
2 года назад
2 года назад
2 года назад
2 года назад
8 лет назад
8 лет назад
9 лет назад