• Предмет: Математика
  • Автор: dipseydipsey
  • Вопрос задан 3 года назад

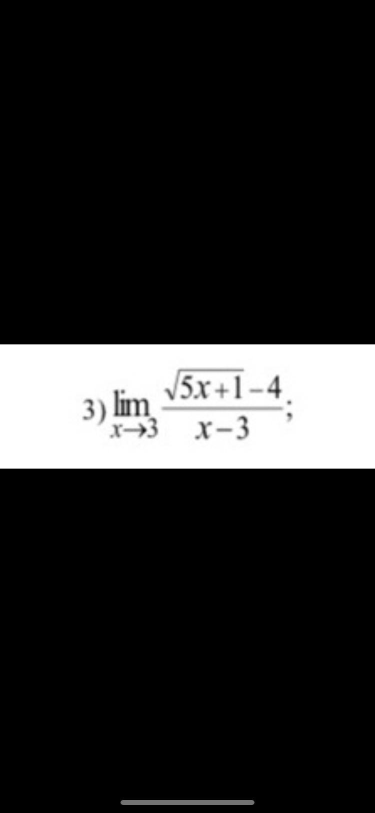
50 баллов. найти предел не пользуясь правилом Лопиталя

Приложения:

Ответы

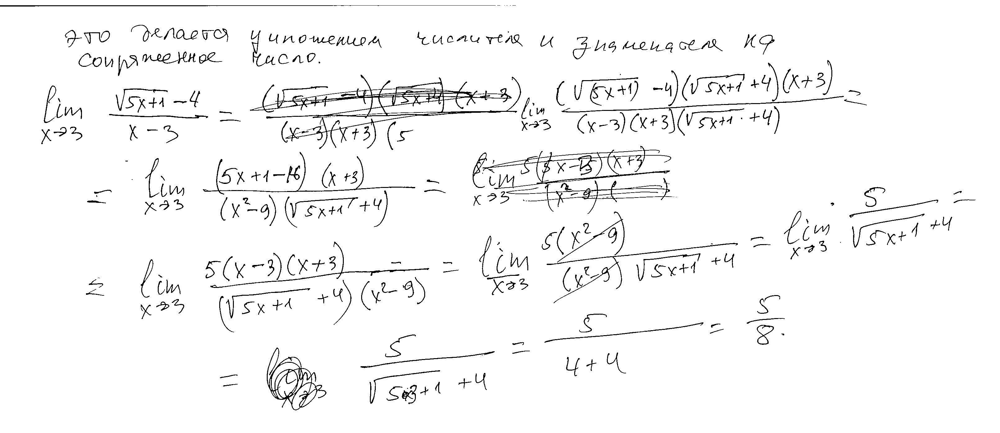
Ответ дал: ужнеужели
3

Ответ:

Ну а чё, все хорошо видно.

Пошаговое объяснение:

во вложении.

Приложения:

Klayzi: Помоги пожалуйста:https://znanija.com/task/44722776
Вас заинтересует