• Предмет: Математика
  • Автор: sabirov63
  • Вопрос задан 3 года назад

пожалуйста помогите решить​

Приложения:

Ответы

Ответ дал: accinternet
2

Ответ:

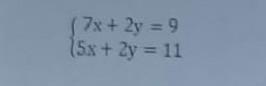
{7x+2y=9

{5x+2y=11 |•(-1)

{7x+2y=9

{-5x-2y= -11

{2x= -2

{7x+2y=9

{x= -1

{7•(-1)+2y=9

-7+2y=9

2y=9+7

2y=16

y=8

{x= -1

{y=8

Ответ:(-1;8)

Вас заинтересует