• Предмет: Математика
  • Автор: kseniasvtlkv
  • Вопрос задан 3 года назад

раскройте скобки и решите уравнения:
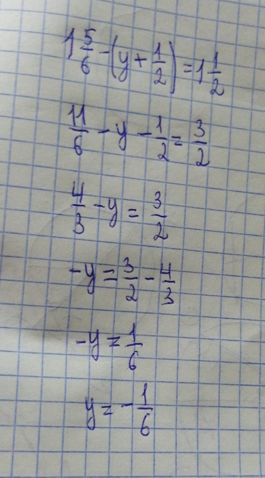
1целая 5/6 - (у + 1/2)= 1 целая 1/2
ПОЖАЛУЙСТА ПОМОГИТЕ, Я НЕ СИЛЬНА В МАТИМАТИКЕ =(


Аноним: прасти

Ответы

Ответ дал: ludmilaksenija2005
1

Пошаговое объяснение:

Ответ на фото

___________

Приложения:

kseniasvtlkv: большое спасибо!
Вас заинтересует