• Предмет: Математика
  • Автор: Аноним
  • Вопрос задан 3 года назад

ПРОШУ ПРОШУ ПРОШУ ПОЖАЛУЙСТА ПОМОГИТЕ!!!!!​

Приложения:

Ответы

Ответ дал: mikasvon77
0

Ответ:

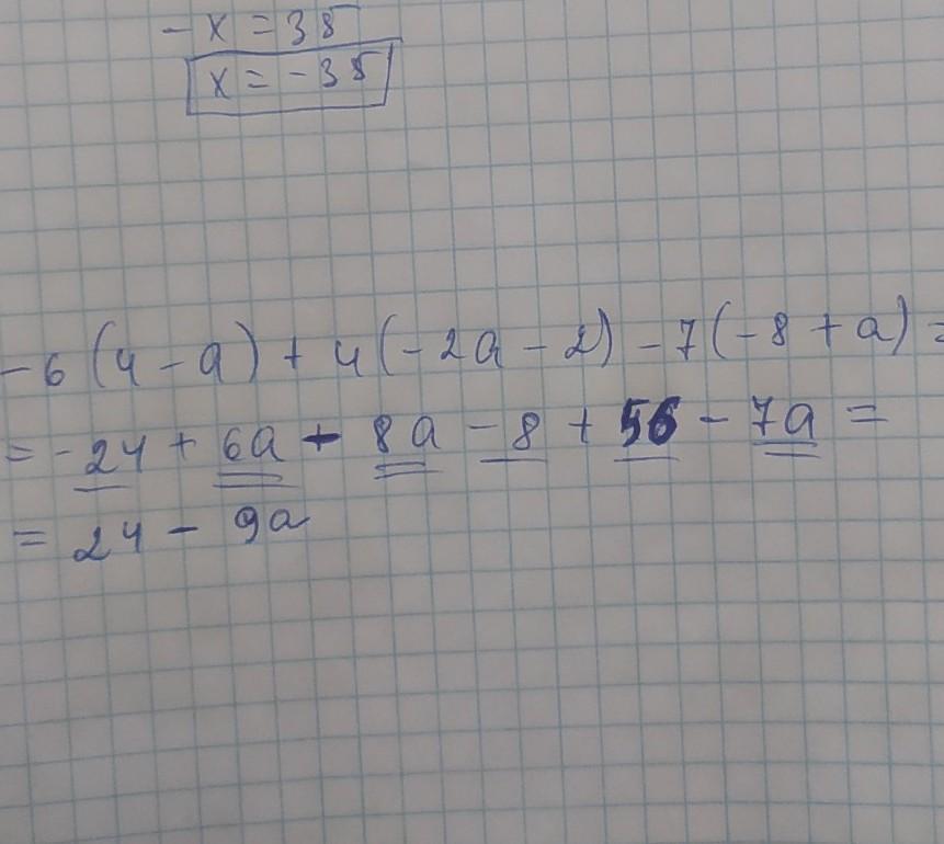
ооооттттвввееет 24 - 9а

Приложения:

Аноним: можешь объяснить куда что писать?
Вас заинтересует