• Предмет: Алгебра
  • Автор: garrylox98
  • Вопрос задан 3 года назад

Помогите с заданием


Выполните действия:
a−1/3а:(1 − 1/а )

Ответы

Ответ дал: aknyr2018
1

Ответ:

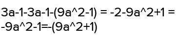
Я думаю вот это!!!!аааа

Приложения:
Ответ дал: sveta7676
4

Ответ:

1/3

Объяснение:

а-1/3а:(1-1/а)=а-1/3а:(а-1/а)=а-1/3а*а/а-1=1/3

Вас заинтересует