• Предмет: Математика
  • Автор: dianaasajhanova
  • Вопрос задан 3 года назад


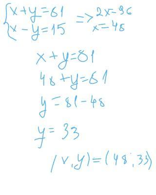
Сумма двух чиселт равна 81, а их разность равна 15. Найдите эти числа. помогите пожалуйста ​

Ответы

Ответ дал: Fireworld40
0

Ответ:

ответ дан на фотографии

Приложения:
Вас заинтересует