• Предмет: Алгебра
  • Автор: fuipsdyugisdghghyu
  • Вопрос задан 3 года назад

Алгебра!!! Легко!!!!!!!!!!!!!!!!!!!!!!!

Приложения:

Ответы

Ответ дал: abdullazoyirov1
1

Ответ: 6n / (m-2)

(m² - 4)/n : (m² - 4m + 4)/6n² =

= (m² - 2²)/n : (m - 2)²/6n² =

= (m+2)(m-2)/n : (m-2)²/6n² #Переворачиваем дробь

= (m+2)(m-2)/n • 6n²/(m-2)² =

#Сокрашаем дроби

= 6n/(m-2)


NNNLLL54: в числителе потеряли (m+2)
abdullazoyirov1: Да, забыл про это. Спасибо за внимательность.
NNNLLL54: так исправьте
abdullazoyirov1: я уже не могу редактировать
Ответ дал: NNNLLL54
1

Ответ:

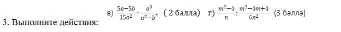
1)\ \ \dfrac{5a-5b}{15a^2}\cdot \dfrac{a^3}{a^2-b^2}=\dfrac{5\, (a-b)}{15}\cdot \dfrac{a}{(a-b)(a+b)}=\dfrac{a-b}{3\, (a-b)(a+b)}=\dfrac{1}{3\, (a+b)}\\\\\\\\3)\ \ \dfrac{m^2-4}{n}:\dfrac{m^2-4m+4}{6n^2}=\dfrac{(m-2)(m+2)}{n}\cdot \dfrac{6n^2}{(m-2)^2}=\dfrac{6\,n (m+2)}{m-2}


dollob: здравствуйте, помогите мне с алгеброй, пожалуйста
Вас заинтересует