• Предмет: Математика
  • Автор: valikkrutoi333
  • Вопрос задан 3 года назад

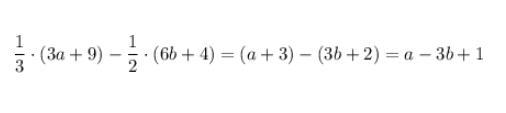
1/3(3а+9)-1/2(6b-4)

плз 70 баллов дам

Ответы

Ответ дал: NNNLLL54
0

Ответ:

\dfrac{1}{3}\cdot (3a+9)-\dfrac{1}{2}\cdot (6b+4)=(a+3)-(3b+2)=a-3b+1                                    

Приложения:

Аноним: магистр помоги с моим заданием пожалуйста
Аноним: он у меня в вопросах
Вас заинтересует