• Предмет: Алгебра
  • Автор: cherkashinmaksim08
  • Вопрос задан 8 лет назад

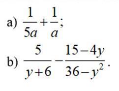
Выполните сложение и вычитание дробей:

Приложения:

Ответы

Ответ дал: petrovgrigorij29
1

Ответ:

1/5a+5/5a=6/5a

(5/y+6)-(15-4y/36-y^2)=(30-5y-15+4y/36-y^2)=15-y/36-y^2

Объяснение:


petuhovanton95: Пасиба
Ответ дал: smallmiracle84
2

Ответ:

а)  \frac{1}{5a}  + \frac{1}{a}  = \frac{6}{5a}

b)\frac{5}{y+6} -\frac{15-4y}{36-y^{2} }  = \frac{15-y}{36y^{2} }

Вас заинтересует