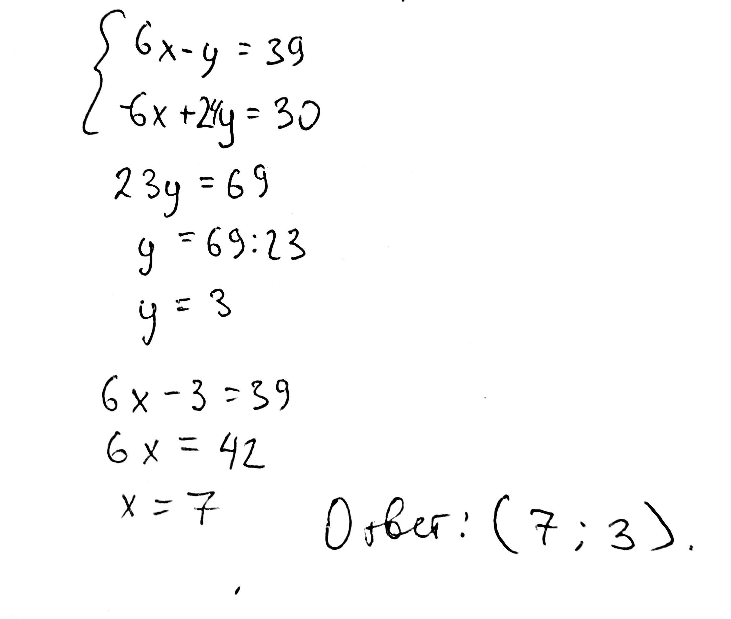
задание. Решите систему линейных неравенств с двумя переменными способом сложения:
6x – y = 39
-6x+24y = 30
Ответы
Ответ дал:
1
Ответ: (7; 3)
Пошаговое объяснение: во вложении.
Приложения:

chapter3s2008:
а где 6х+24у
Вас заинтересует
2 года назад
2 года назад
3 года назад
3 года назад
8 лет назад
9 лет назад