• Предмет: Алгебра
  • Автор: gfjfjff
  • Вопрос задан 8 лет назад

помогите пожалуйста!!!!!!

Приложения:

Ответы

Ответ дал: Маркшейдерка
1

Ответ:

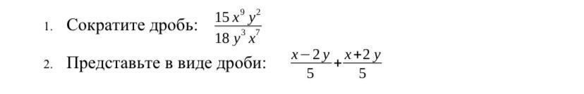
1. \frac{15x^{9}y^{2}  }{18y^{3}x^{7}  } =\frac{5x^{2} }{6y}

2. тк знаменатель один, запишет сразу под одну дробь: \frac{x-2y+x+2y}{5} = \frac{2x}{5}

Вас заинтересует