• Предмет: Алгебра
  • Автор: 6463574
  • Вопрос задан 8 лет назад

СРОЧНОООООООООООООО​

Приложения:

Ответы

Ответ дал: andrukhnikita
0

Ответ:

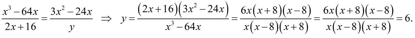
Ответ на фото

Объяснение:

Приложения:
Вас заинтересует