• Предмет: Алгебра
  • Автор: mrrobbi8382
  • Вопрос задан 8 лет назад

ПОМОГИТЕ ПОЖАЛУЙСТА СРОЧНО

Приложения:

Ответы

Ответ дал: andrukhnikita
1

Ответ:

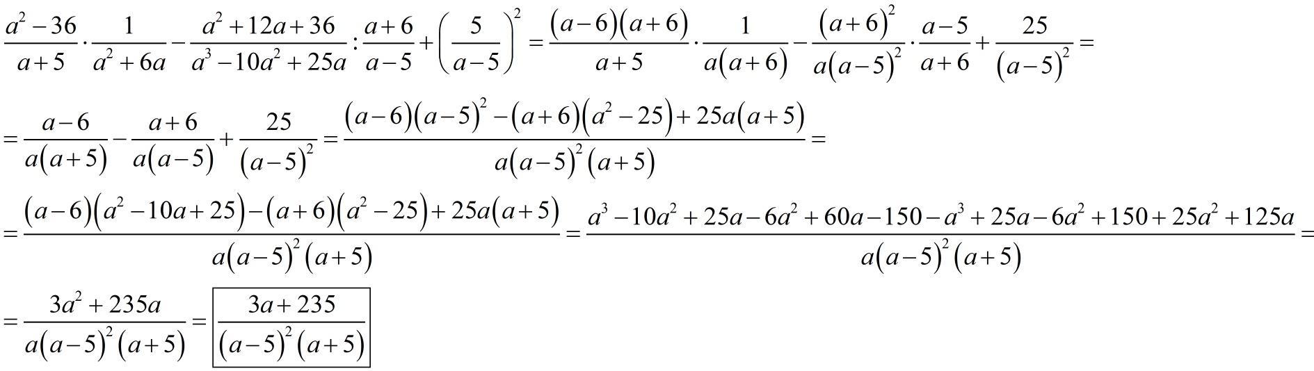
Ответ на фото

Объяснение:

Приложения:
Вас заинтересует