• Предмет: Математика
  • Автор: vsirinov
  • Вопрос задан 8 лет назад

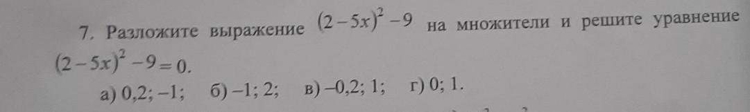
пожалуйста пожалуйста пожалуйста пожалуйста пожалуйста пожалуйста ​

Приложения:

Ответы

Ответ дал: 2hfkk6nwqg
0

Ответ:в)-0,2; 1

Пошаговое объяснение:

Вас заинтересует