• Предмет: Геометрия
  • Автор: misaev035
  • Вопрос задан 8 лет назад

Соч по геометрии.Вот эти 3 задания приклепляйте фото плиз даю 100 баллов​

Приложения:

Ответы

Ответ дал: ужнеужели
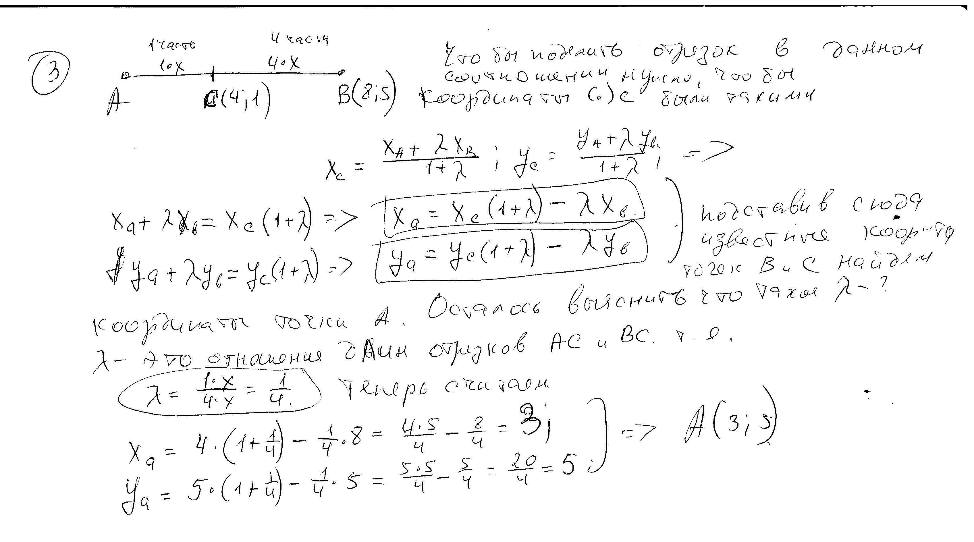
1

Ответ:

Объяснение:

во вложенных файлах

Приложения:

misaev035: Тут только 3-е задание?
ужнеужели: туточки ДВА вложенных файла.
Вас заинтересует