• Предмет: Алгебра
  • Автор: nargiza777763
  • Вопрос задан 8 лет назад

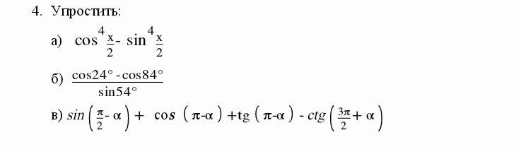
Срочноооооо! Пожалуйста помогите! Упростить :

Приложения:

Ответы

Ответ дал: Universalka
2

1)Cos^{4}\frac{x}{2}-Sin^{4} \frac{x}{2}=\underbrace{(Cos^{2}\frac{x}{2}+Sin^{2}\frac{x}{2} )}_{1}\underbrace{(Cos^{2} \frac{x}{2}-Sin^{2}\frac{x}{2})}_{Cos(2*\frac{x}{2})} =1*Cosx=\boxed{Cosx} \\\\\\2)\frac{Cos24^{0}-Cos84^{0}}{Sin54^{0} }= \frac{-2Sin\frac{24^{0}+84^{0}}{2}Sin\frac{24^{0}-84^{0}}{2}}{Sin54^{0} }=\frac{-2Sin54^{0}*Sin(-30^{0})}{Sin54^{0} }=\\\\=-2*Sin(-30^{0})=-2*(-\frac{1}{2})=\boxed{1}

3)Sin(\frac{\pi }{2}-\alpha)+Cos(\pi-\alpha)+tg(\pi-\alpha)-Ctg(\frac{3\pi }{2}+\alpha)=\\\\=Cos\alpha-Cos\alpha-tg\alpha+tg\alpha=\boxed0


nargiza777763: Спасибочки
Universalka: Пожалуйста
Вас заинтересует