• Предмет: Физика
  • Автор: Marmilatka15
  • Вопрос задан 8 лет назад

помогите пожалуйста надо срочно пожалуйста
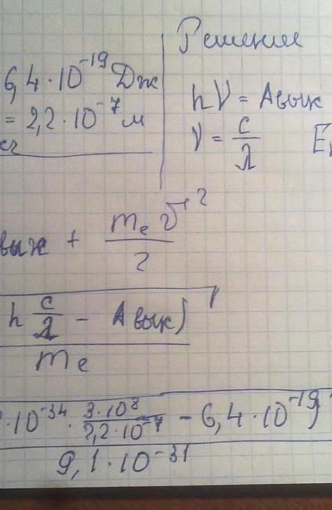
1.Помогите пожалуйста!На цинковую пластину,работа выхода которой Авых=4эв,падает монохроматический свет длиной волны лямда=220 нм. Определите максимальную скорость фотоэлектронов. ОТВЕТ:760км/с
2.Задерживающее напряжение для электронов, испускаемых с по верхности цинка, равно U1=2,42В при его освещении излучением длиной волны лямда=185нм. Чему равен тормозящий потенциал при длине волны падающего излучения 254 нм. ОТВЕТ:0,606В
3.При частоте падающего излучения v1=4*10^15 Гц задерживающее напряжение U1=14 В, а при частоте v2= 8*10^15Гц напряжение U2 =30 В. Определите по этим данным постоянную Планка. ОТВЕТ:6,4*10^-34 Дж*с
4.Определите задерживающее напряжение для электронов, испускаемых с поверхности натрия под действием монохроматического излучения с длиной волны лямда= 200 Нм ОТВЕТ:3.7В​

Ответы

Ответ дал: mediabeketaeva
0

Объяснение:

вот может помогла надеюсь

Приложения:
Вас заинтересует