• Предмет: Алгебра
  • Автор: romego1502
  • Вопрос задан 8 лет назад

ДАЮ 50 БАЛЛОВ, ПОМОГИТЕ ПЖ!!!!!!!!!!!!!!!!!!!!!!!!!!!!!!!!!!!!!!!!!!!!


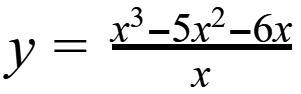
Укажите область определения функции. (10 баллов)


Постройте график этой функции. (25 баллов)

Приложения:

Ответы

Ответ дал: DimaGala2006
2

Ответ:

Ответ: (-1;6)

Объяснение:

Всë на фотографии.

Приложения:

romego1502: спасибо
DimaGala2006: не за что
Вас заинтересует