Пожалуйста завтра сдавать!!!!! срочно!!!! помогите прошу!!
7 класс алгебра
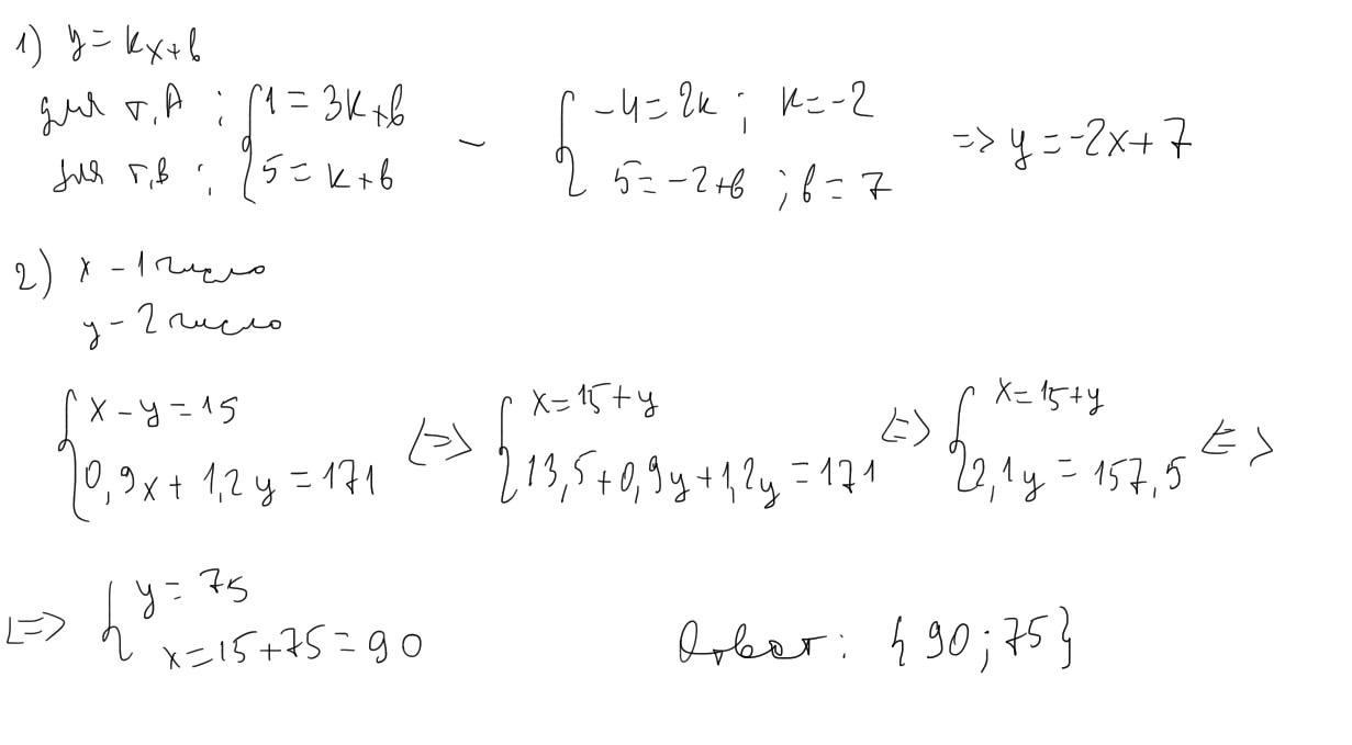
1)Пряма у=kx+b проходить через точки А(3;1) і В(1;5). Запишіть рівняння цієї прямої.
2) Різниця двох чисел дорівнює 15. Якщо більше число зменшити на 10%, а менше збільшити на 20%, то їх сума дорівнюватиме 171. Знайдіть ці числа.
Пожалуйста, помогите
Ответы
Ответ дал:
1
Ответ:
так
Объяснение:
Приложения:

Вас заинтересует
2 года назад
2 года назад
3 года назад
8 лет назад
9 лет назад