• Предмет: Алгебра
  • Автор: 10Aisha01
  • Вопрос задан 8 лет назад

Помогите пожалуйста!
очень нужно
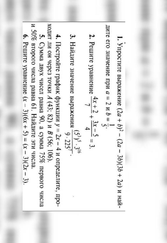
2,3​

Приложения:

Ответы

Ответ дал: polina369399
0

Ответ:

2) х=3. 3) 5

Объяснение:

2)умножаем две части на 4 и 7, получаем 4(4х+2)+7(3х-5)=84, потом это перемножаем, получаем 16х+8+21х-35=84, ну и решаем как уравнение уравнение получаем х=3

3) ну, смотри, сначала перемножаем степени на верхней строчке, а на нижней разлагаем их, получаем: (5^15*3^16)/(3^2×45^7+5^7), теперь мы сокращаем 5^15 и 5^7, а также 3^16 и 3^2, и получаем (5^8*3^14)/(45^7) а теперь раскладываем 45^7 на 3^14 и на 5^7, и скоращаем, у нас выходит (5^8)/(5^7), ставим на одну строчку и по формуле 5^(8-7)=5^1=5

Вас заинтересует