22 БАЛЛА !!!!
физика 7 класс !!!
помогите добрые люди которые шарят в физике помогите пожалуйста ! ʕ•ᴥ•ʔдобра вам и счастья
1. Детский воздушный шарик объемом 3000 см3 наполнен водородом. Масса шара вместе с водородом 3,5 г. Какова подъемная сила воздушного шарика?
Ответы
Ответ дал:
1
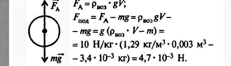
F = FA - P
P = m * g
m - масса ( 3,4 г = 0,0034 кг )
g = 10 H / кг
P = 0,0034 * 10 = 0,034 H
FA = p * g * V
p - плотность ( для воздуха 1,29 кг / м³ )
g = 10 H / кг
V - объём ( 0,003 м³ )
FA = 1,29 * 10 * 0,003 = 0,0387 H
F = 0,0387 - 0,034 = 0,0047 H = 4,7 мН
Ответ дал:
1
Ответ:
Полное решение, ответ 4,7*10-³H
Приложения:

Вас заинтересует
2 года назад
2 года назад
3 года назад
8 лет назад
8 лет назад
9 лет назад