• Предмет: Математика
  • Автор: dilshodbekkhamrakulo
  • Вопрос задан 8 лет назад

помогите пж срочно нужна ваша помощь!(╯︵╰)​

Приложения:

Ответы

Ответ дал: RainbowDaisy
6

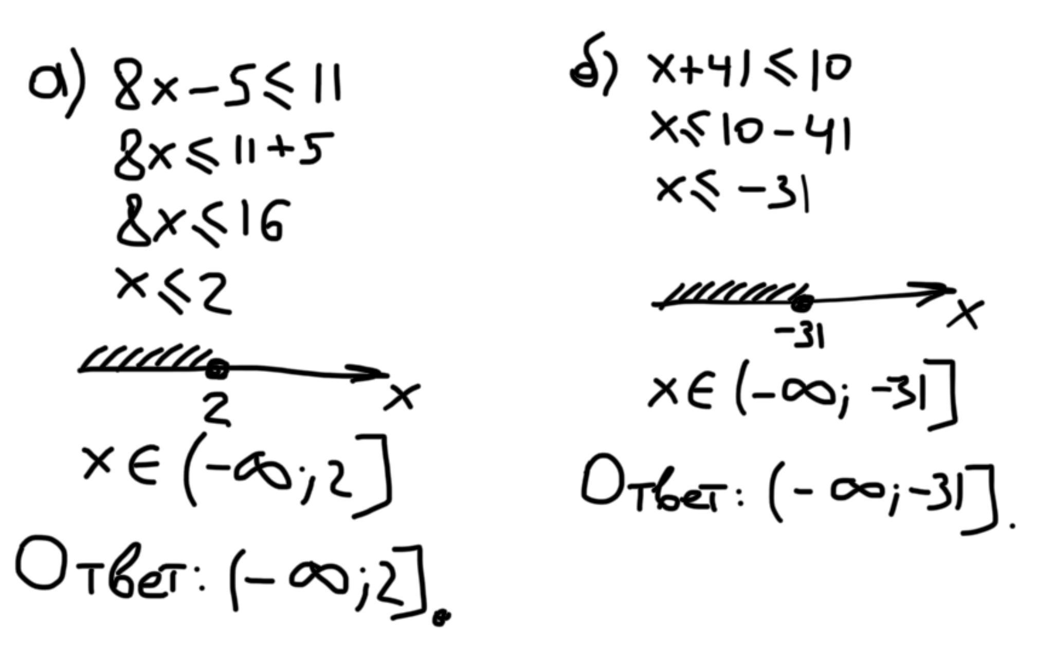
Ответ: а) (-∞;2], б) (-∞;-31].

Пошаговое объяснение:

Приложения:
Вас заинтересует