• Предмет: Математика
  • Автор: xbxbdhdu
  • Вопрос задан 8 лет назад

Координатная плоскость

Приложения:

Ответы

Ответ дал: Sserikbaev
0

Ответ:

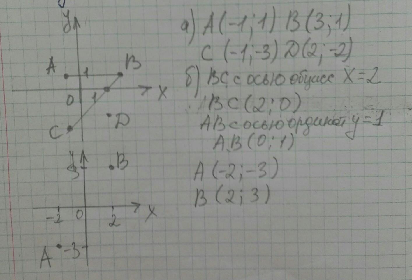
ответы на фотографии с решением

Приложения:
Вас заинтересует