Ответы
Ответ дал:
3
Ответ:
1
2
3
Ответ дал:
2
Ответ:
Пошаговое объяснение:
////////////////////////////
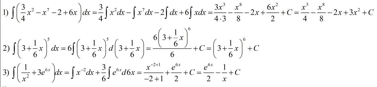
Приложения:

Аноним:
Спасибо
Вас заинтересует
2 года назад
2 года назад
3 года назад
8 лет назад
8 лет назад
9 лет назад
9 лет назад