• Предмет: Физика
  • Автор: vlnlcae
  • Вопрос задан 8 лет назад

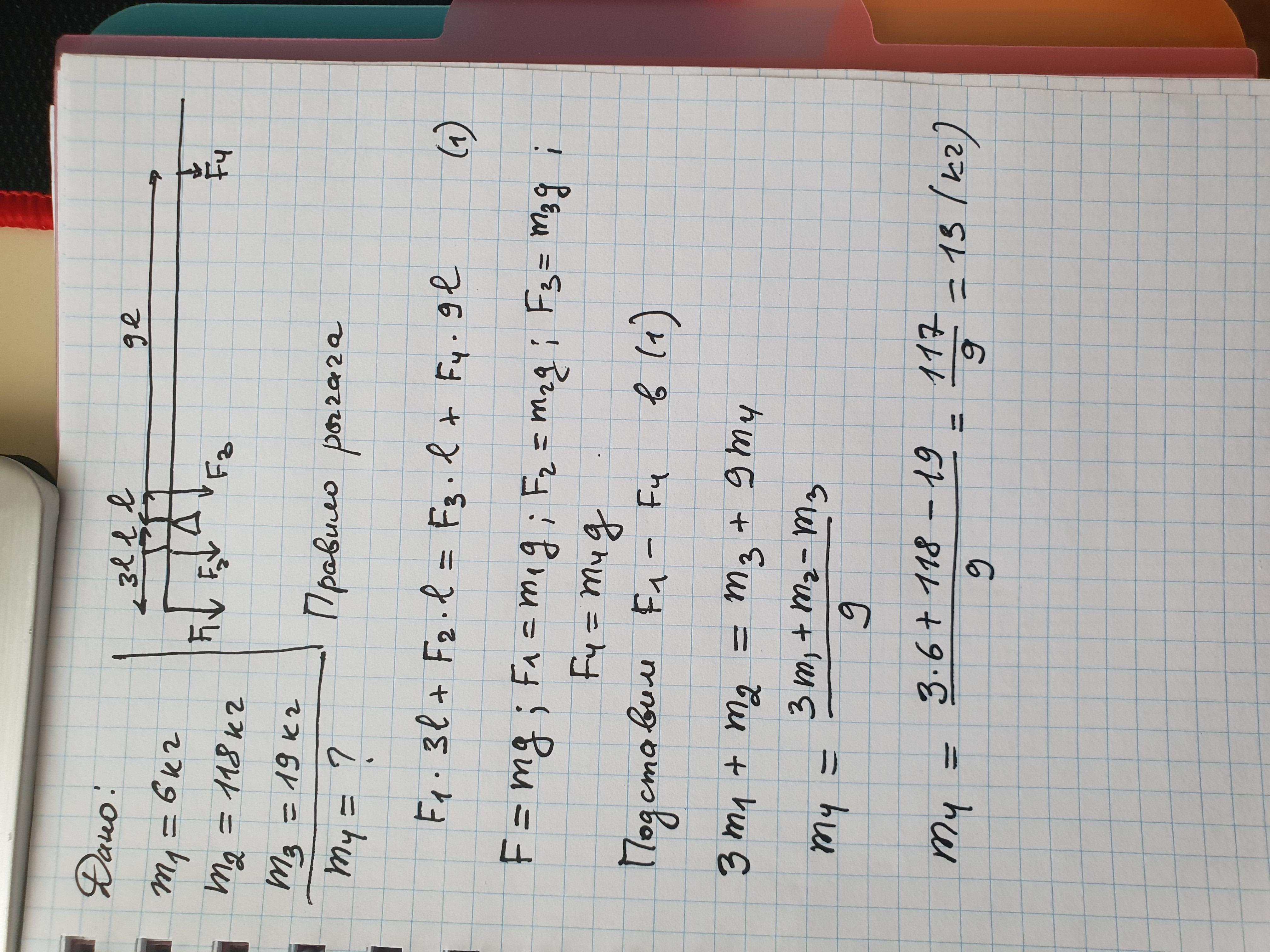
дан невесомый рычаг с двумя противовесами на каждой стороне. массы противрвесов m1=6кг, m2=118кг и m3=19кг. какова масса противрвеса m4, eсли рычаг находится в равновесии? ​

Приложения:

Ответы

Ответ дал: alexlar30
0

Ответ:

13 кг

Объяснение:

Приложения:
Вас заинтересует