• Предмет: Математика
  • Автор: DAKONT
  • Вопрос задан 8 лет назад

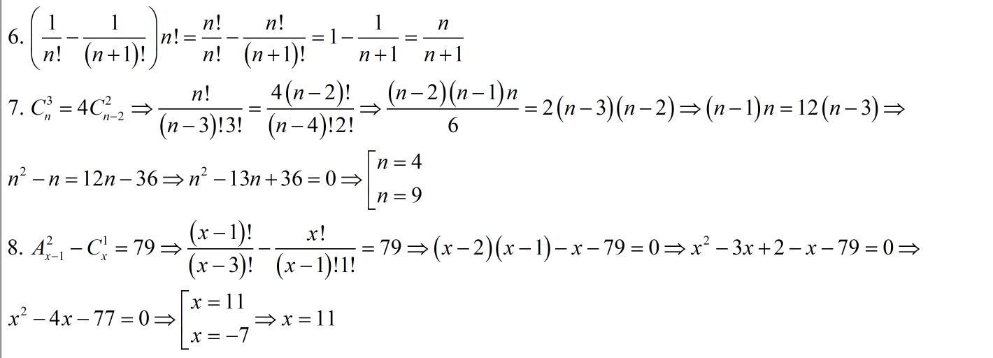
Помогите с факториалами

Приложения:

Ответы

Ответ дал: palilov243659
1

Ответ:

Пошаговое объяснение:

////////////////////////////////

Приложения:
Вас заинтересует