• Предмет: Математика
  • Автор: alekseevsansay
  • Вопрос задан 8 лет назад

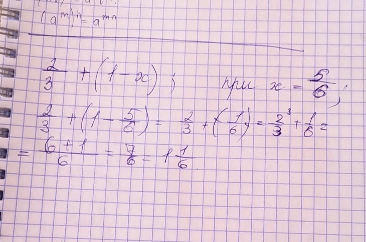
дробь, числитель — 2, знаменатель — 3 плюс |1 минус x| при x= дробь, числитель — 5, знаменатель — 6 .

Ответы

Ответ дал: Brain1703
0

Ответ:

 \frac{3}{19}

 \frac{3}{17}

Пошаговое объяснение:

 \frac{2}{3 +  \frac{1}{6} }  =  \frac{2}{ \frac{ 19}{6} }  =  \frac{3}{19}

 \frac{2}{ \frac{17}{6}}  =  \frac{3}{17}

Ответ дал: ztasdfvov
0

Ответ:

У меня получилось одна целая одна шестая

Приложения:
Вас заинтересует