Ответы
Ответ дал:
1
Ответ:
Пошаговое объяснение:
////////////////////////
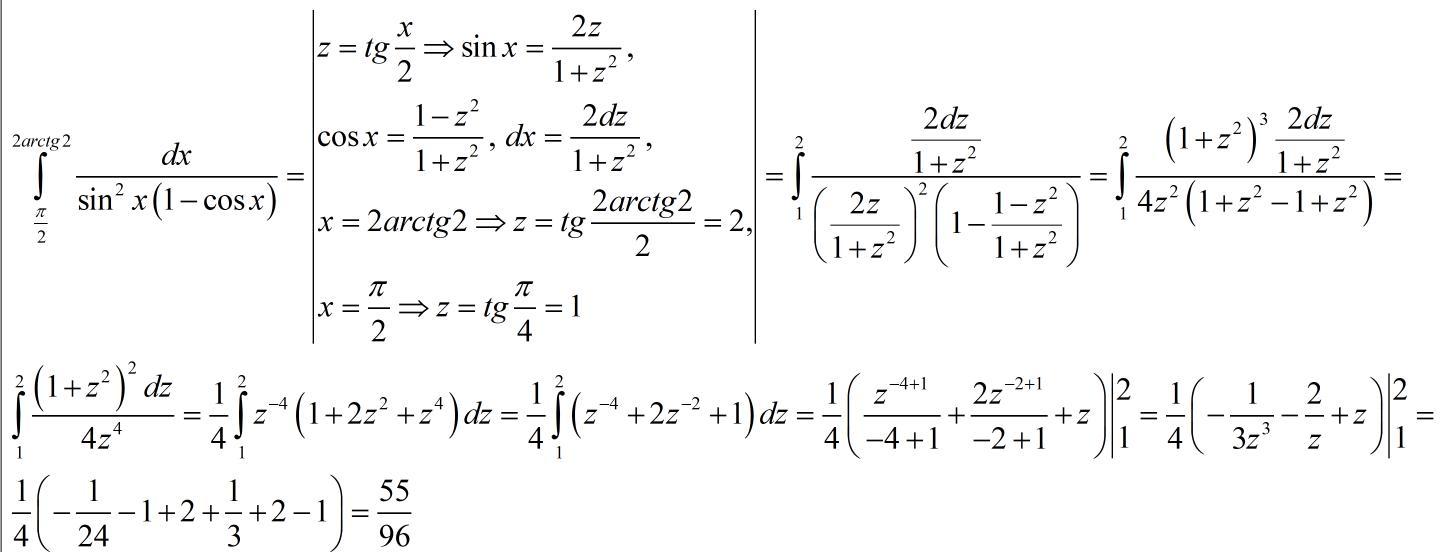
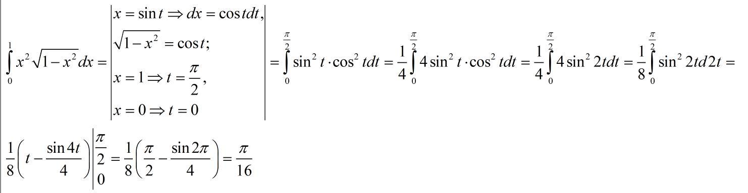
Приложения:


pochik51:
спасибо вам большое
Вас заинтересует
2 года назад
2 года назад
3 года назад
3 года назад
8 лет назад
8 лет назад