• Предмет: Алгебра
  • Автор: lerav8035
  • Вопрос задан 8 лет назад

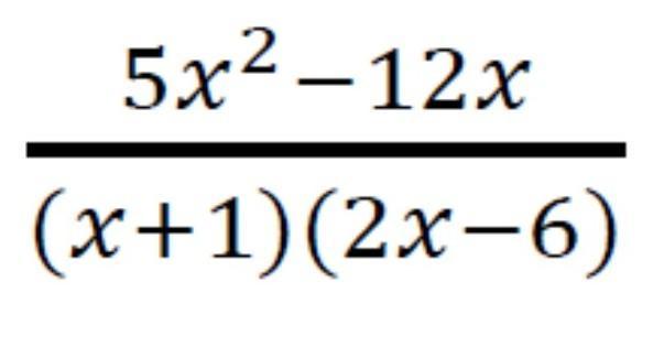
при каких значениях алгебраическая дробь имеет смыслэ​

Приложения:

Ответы

Ответ дал: asobolec
0

Ответ:

При x = 3

Объяснение:

5*3^2 - 12 * 3 = 45-36 = 9

(3+1)(2*3-6) = 4*0 = 0

При делении на 0 получается бесконечность

Ответ дал: bearcab
0

Ответ:

x∈(-∞; -1)∪(-1; 3)∪(3;+∞)

Объяснение:

Дробь существует тогда и только тогда, когда знаменатель не равен нулю.

Найдем нули знаменателя

(х+1)(2х-6)=0

х₁=-1; х₂=3

При x∈(-∞; -1)∪(-1; 3)∪(3;+∞) дробь имеет смысл.

Вас заинтересует