Ответы
Ответ дал:
0
Ответ:
Пошаговое объяснение:
Приложения:

Ответ дал:
1
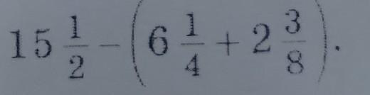
Ответ: 6 целых 7
8
Пошаговое объяснение:
1. 25(*2)+19= 50+19= 69
4 8 8 8
2. 31(*4)-69=124-69= 55
2 8 8 8
Вас заинтересует
2 года назад
2 года назад
3 года назад
3 года назад
8 лет назад
8 лет назад
9 лет назад
9 лет назад