• Предмет: Алгебра
  • Автор: irishkarobl13
  • Вопрос задан 8 лет назад

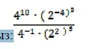
Найдите значение выражения пожалуйста

Приложения:

Ответы

Ответ дал: Sandrusia
1

2^20*2^(-12)/2^(-2)*2^10=1

Вас заинтересует