• Предмет: Алгебра
  • Автор: sugawarakun63
  • Вопрос задан 8 лет назад

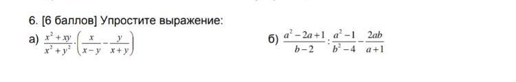
ПОМОГИТЕ ДАМ 50 БАЛЛОВ ПОЖАЛУЙСТА

Приложения:

Ответы

Ответ дал: tatsach
1

Ответ:

Объяснение:

,.............

Приложения:

sugawarakun63: Спс брат
Вас заинтересует