Ответы
Ответ дал:
6
Ответ: 1
Решение:
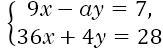
Поділивши другу частину на 4 ми маємо таке ж рівняння як і 1, тому воно має безліч розв’язків❤️
Решение:
Поділивши другу частину на 4 ми маємо таке ж рівняння як і 1, тому воно має безліч розв’язків❤️
Вас заинтересует
2 года назад
2 года назад
3 года назад
9 лет назад
9 лет назад
10 лет назад