• Предмет: Математика
  • Автор: svompinoname
  • Вопрос задан 8 лет назад

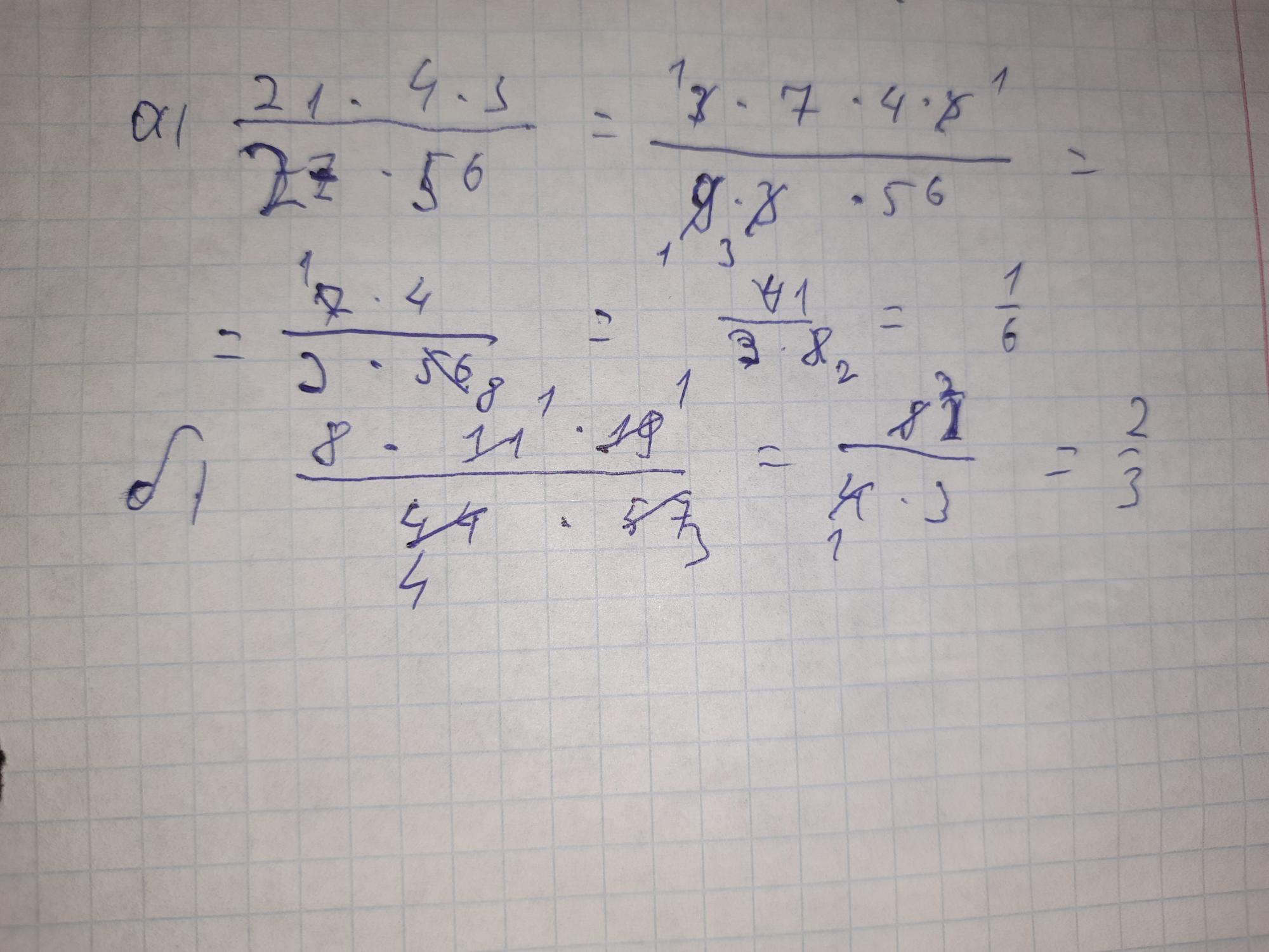
сократите дробь то есть зачеркиванием
только а и Б верхнее не надо​

Приложения:

Ответы

Ответ дал: koristuvacn04
0

Ответ:

252 1672

------

2508

------

1512

Ответ дал: tselinart
0

Відповідь:

Покрокове пояснення:

Приложения:
Вас заинтересует