• Предмет: Алгебра
  • Автор: Аноним
  • Вопрос задан 10 лет назад

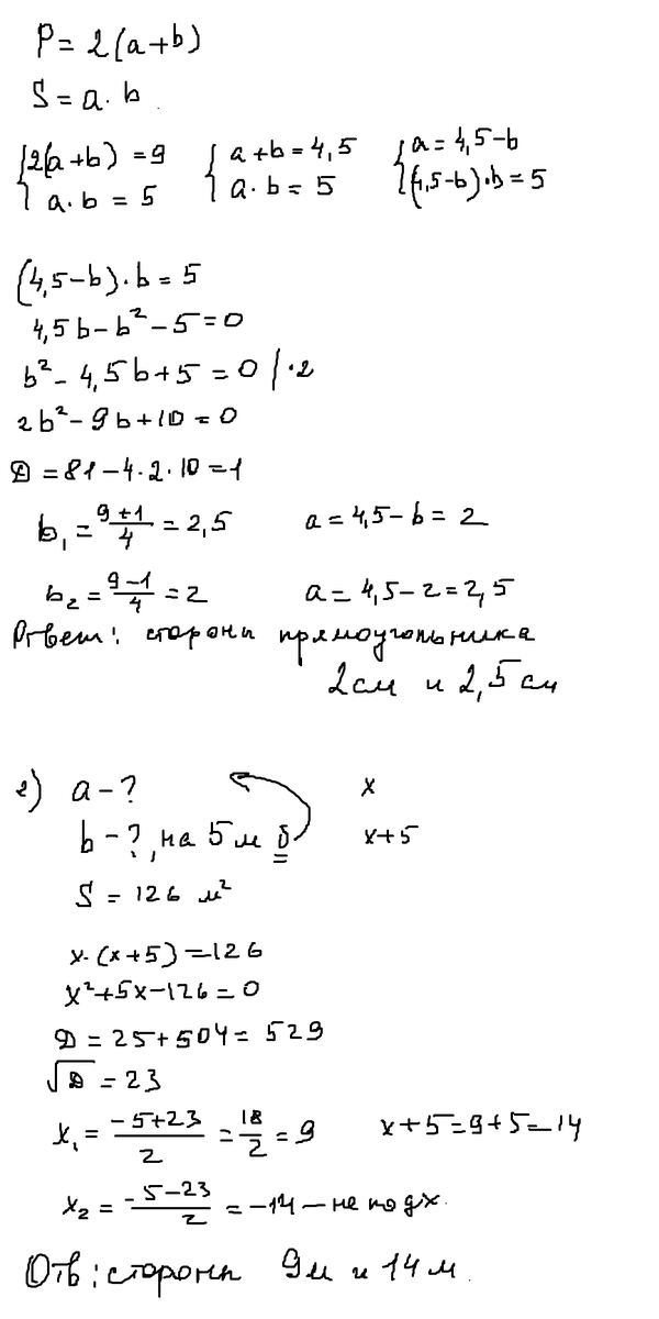
1: Периметр прямоугольника равен 9 м, а площадь-5 м квадрат. Найти его стороны?
2: Одна сторона прямоугольника на 5 м больше другой, а его площадь равна 126 м квадрате. Найдите стороны прямоугольника?

Решите СРОЧНО !!!!!!!!!!

Приложения:

Ответы

Ответ дал: esmilya
0
Решениееееееееееееееееееееееееееееееее
Приложения:
Вас заинтересует