• Предмет: Математика
  • Автор: CHICHA1LOVE
  • Вопрос задан 8 лет назад

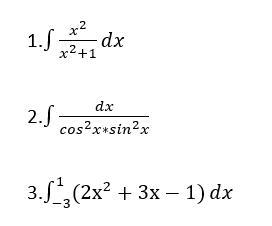
Решите пожалуйста интегралы

Приложения:

Ответы

Ответ дал: uchkunsosseti181120
0

https://www.integral-calculator.ru/

Остальные там можно решить.

Приложения:
Ответ дал: dobra888
0

Ответ:

Пошаговое объяснение:

1 ) ∫ [x²/( x² + 1 ) ]dx = ∫ ( 1 - 1/ ( x² + 1 ) )dx  = x -arctgx + C ;

2 ) ∫ [ dx/ ( cos²xsin²x ) ] = ∫ [4dx/( 2sinxcosx)² ] = ∫ ( 4dx/sin²2x )

= 4 * ∫ [ - 1/2 d( ctg2x) ] = - 2 ∫ d ( ctg2x) = - 2ctg2x + C ;

3 )  ∫₋₃¹( 2x² + 3x - 1 )dx  = ( 2/3 x³ + 3/2 x²- x )│₋₃¹ = ( 2/3 *1³ + 3/2 * 1² - 1 ) -

- [ 2/3 *( -3)³ + 3/2* ( - 3)² + 3 ] = 15 - 13 + 2/3 = 2 2/3 .

Вас заинтересует