• Предмет: Алгебра
  • Автор: Dima56779
  • Вопрос задан 8 лет назад

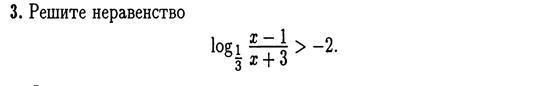
Решите неравенство даю 50б

Приложения:

Ответы

Ответ дал: Universalka
2

ОДЗ :

\frac{x-1}{x+3} >0 \ \Rightarrow \ x\in(-\infty \ ; \ -3) \ \cup \ (1 \ ; \ +\infty)\\\\\\log_{\frac{1}{3}}\frac{x-1}{x+3} >-2\\\\0<\frac{1}{3} <1 \ \Rightarrow \ \frac{x-1}{x+3}<(\frac{1}{3} )^{-2}\\\\\frac{x-1}{x+3}<9\\\\\frac{x-1}{x+3}-9<0\\\\\frac{x-1-9x-27}{x+3}<0\\\\\frac{8x+28}{x+3}>0\\\\\frac{x+3,5}{x+3}>0

     +           -               +

______₀______₀_______

          - 3,5        - 3

//////////////             ///////////////

x ∈ ( - ∞ ; - 3,5) ∪ (- 3 ; + ∞)

С учётом ОДЗ окончательный ответ : x ∈ ( - ∞ ; - 3,5) ∪ (1 ; + ∞)


Dima56779: Можно немного объяснения шагов?
Universalka: Я вроде подробно написала . Спрашивайте, что непонятно .
Dima56779: в 6 шаге откуда взялось 27?
Universalka: - 9 * (x + 3) = - 9x - 27
Universalka: Привела к общему знаменателю
Вас заинтересует