• Предмет: Алгебра
  • Автор: Аноним
  • Вопрос задан 8 лет назад

помогите пожалуста завтра пишу кр за год !!!!!!!!!!​

Приложения:

Ответы

Ответ дал: remmob09876xiomi
0

Ответ:

6) 1-д

2-в

3-а

4-б

Объяснение:

інста:karina_8257

Приложения:
Ответ дал: Безефик
0
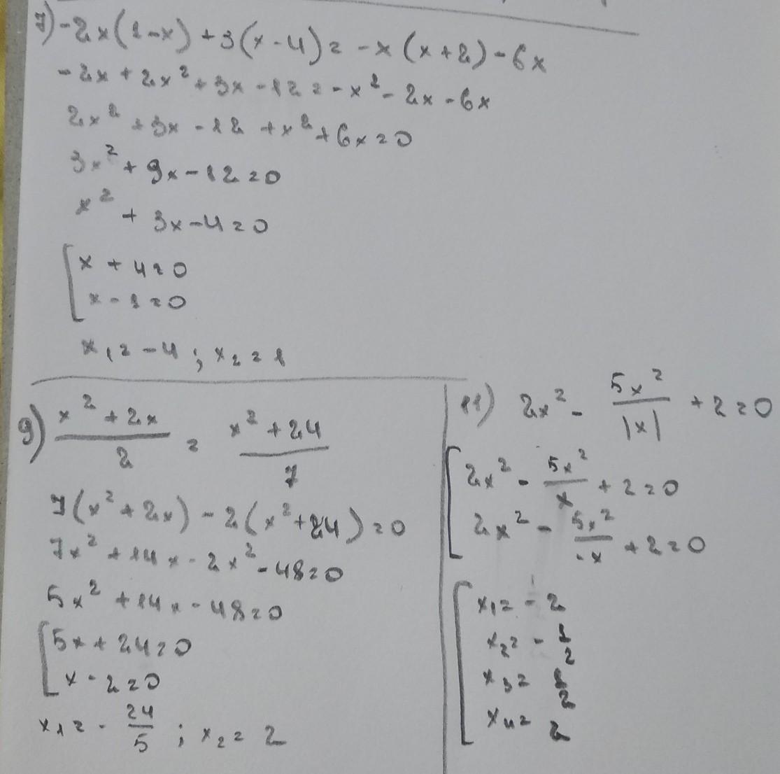
Ответы на приложенных фотографиях
Приложения:

Безефик: Не знаю, как добавить второе изображение!
Вас заинтересует