• Предмет: Математика
  • Автор: alicean
  • Вопрос задан 10 лет назад

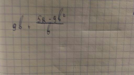
Упростить выражение и найти его значение при а=9,b=18

Приложения:

Ответы

Ответ дал: tatia5
0
b*9b+5a-9b² = 9b²+5a-9b² = 5a
          b                   b             b
при a = 9, b = 18
 5 * 9 = 2 целых 1/2
   18       2
Вас заинтересует