• Предмет: Алгебра
  • Автор: Аноним
  • Вопрос задан 10 лет назад

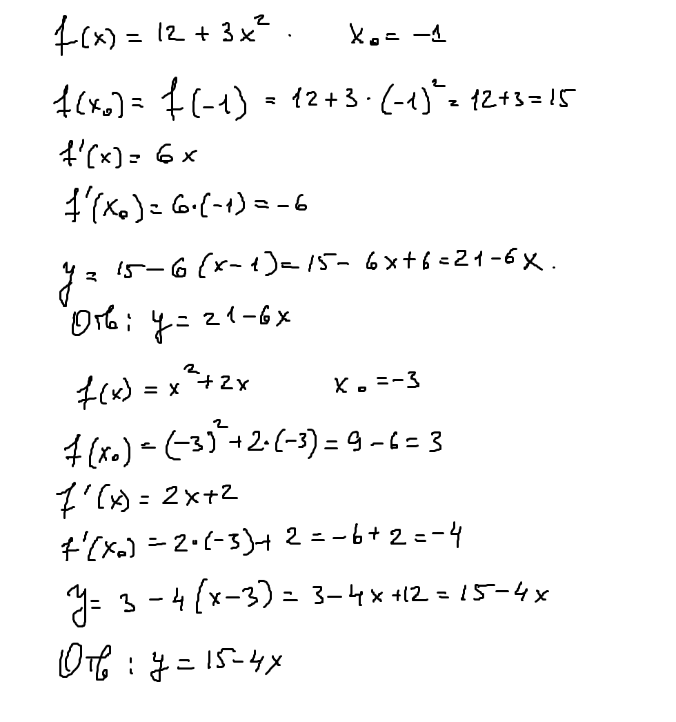
1) напишите уравнение касательной к графику функции f(x)=12x+3^2, проведенной через точку с абциссой х0=-1

 

2) Напишите уравнение касательной к графику функции y=f(x) в точке x0 :
f(x)= x^2+2x , x0=-3

Ответы

Ответ дал: esmilya
0
решениеееееееееееееееееееееееееееее
Приложения:
Вас заинтересует