• Предмет: Алгебра
  • Автор: Chikar18
  • Вопрос задан 8 лет назад

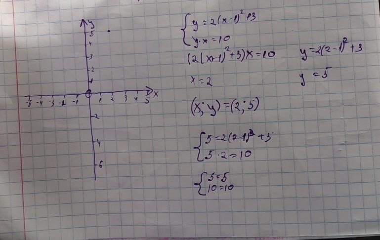
Помогите решить систему уравнений графическим методом
{ y=2(x-1)^2+3
{y*x=10

Ответы

Ответ дал: anastasiapuzyreva765
0

Ответ:

вот

Объяснение:

вроде правильно. я хз

Приложения:
Ответ дал: svit111
1

на фото...................

Приложения:

Chikar18: Спасибо огромное ♥️
svit111: якщо не складно,можна позначити як найкраща відповідь!
Вас заинтересует