• Предмет: Алгебра
  • Автор: Кариночкааа
  • Вопрос задан 11 лет назад

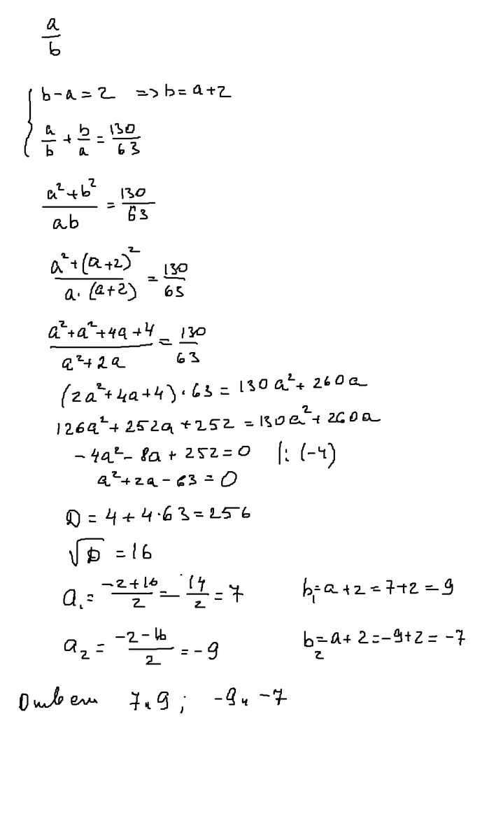
числитель дроби на 2 меньше знаменателя если эту дробь сложить с обратной ей дробью то получится 130 /63 найдите исходную дробь

Ответы

Ответ дал: esmilya
0
решениееееееее здесььььььььььььььььь
Приложения:
Вас заинтересует