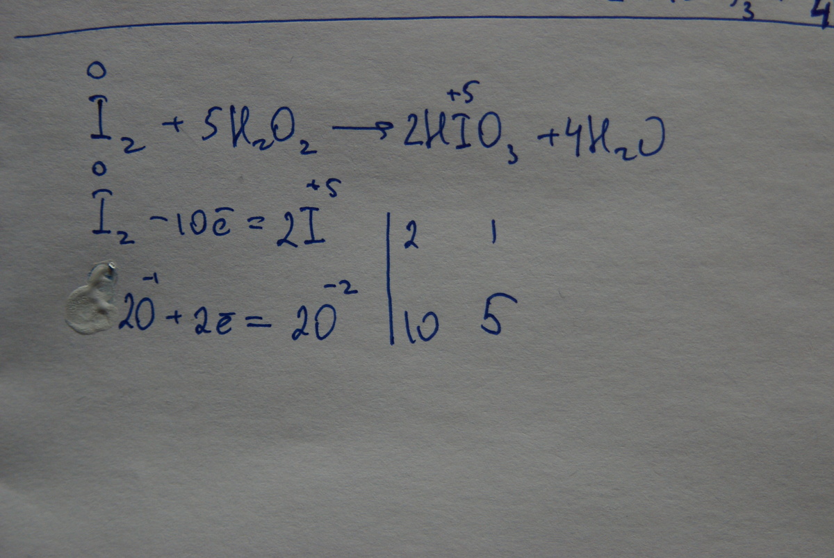
используя электронно - ионный метод расставить коэффициенты в окислительно восстановительной реакции: I2 + H2O2=HIO3 + H2O
Ответы
Ответ дал:
0
Уравнение реакции на фото.
Приложения:

Вас заинтересует
2 года назад
2 года назад
8 лет назад
8 лет назад
10 лет назад
10 лет назад
10 лет назад